APIS
|
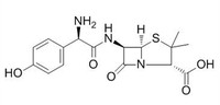
فعال دواسازی اجزاء |
CAS نمبر |
مالیکیولر فارمولا |
تعریف |
ساختی فارمولہ |
|
Amoxicillin اور Clavulanate پوٹاشیم گولیاں |
26787-78-0 |
C16H19N3O5S |
[2S-[2a,5a,6b(S*)]]-6-[[Amino({{6}hydroxyphenyl)acetyl]amino]-3,3-dimethyl{{9} } |
|
مصنوعات کی وضاحتیں
|
مصنوعات |
تفصیلات |
شیشیوں کا حجم |
پیکنگ فارم |
|
اموکسیلن اور کلوولینیٹ پوٹاشیم گولیاں 312.5 ملی گرام؛ 375 ملی گرام؛ 457 ملی گرام؛ 562.5 ملی گرام؛ 625 ملی گرام؛ 1000 ملی گرام |
یو ایس پی کا تازہ ترین ورژن |
سفید گول گولی۔ |
5 ٹیبز/ چھالا، 3 چھالے/ باکس |
نچلے سانس کی نالی کا انفیکشن
یہ ہیمو فیلس انفلوئنزا اور موراکسیلا کیٹرالیس کی وجہ سے ہوتا ہے جو کہ -لیکٹامیسس پیدا کرتے ہیں۔
اوپری سانس کی نالی کا انفیکشن (بشمول کان، ناک اور گلے میں)
یہ ہیمو فیلس انفلوئنزا اور موراکسیلا کیٹرالیس کی وجہ سے ہوتا ہے جو کہ -لیکٹامیسس پیدا کرتے ہیں۔
جلد اور نرم بافتوں کے انفیکشن
Staphylococcus aureus، Escherichia coli اور Klebsiella پیدا کرنے والے -lactamases کے تناؤ کی وجہ سے۔
پیشاب کے نظام میں انفیکشن
Escherichia coli، Klebsiella اور Enterobacter پیدا کرنے والے -lactamases کی وجہ سے۔
مندرجہ بالا بیماریوں کے پیتھوجینک جینس میں کچھ تناؤ -lactamase پیدا کرتے ہیں، جو انہیں صرف اموکسیلن کے لیے غیر حساس بنا دیتا ہے۔ استعمال کرتے وقت، آپ کو اینٹی بیکٹیریل ادویات کے طبی استعمال کے سرکاری رہنما اصولوں کا حوالہ دینا چاہیے۔



خوراک
بالغ اور بچے جن کا وزن 40 کلوگرام سے زیادہ یا اس کے برابر ہے، ایک گولی دن میں تین بار لیں۔ دوبارہ امتحان کے بغیر، مسلسل علاج کی مدت 14 دن سے زیادہ نہیں ہے.
زبانی اسے کھانے کے ساتھ لینا چاہیے اور اسے چبا نہیں جانا چاہیے، تاکہ معدے کی ممکنہ عدم برداشت کو کم کیا جا سکے اور بہترین جذب حاصل کیا جا سکے۔



معاملات پر توجہ کی ضرورت ہے۔
Ampicillin اور Clavulanate Potassium گولیاں لینا شروع کرنے سے پہلے، مریضوں کو پہلے پینسلن کی جلد کی جانچ کرنی چاہیے۔
سیفالوسپورنز سے الرجی اور الرجی کی بیماریاں جیسے دمہ، ایگزیما، فیور، چھپاکی اور جگر کی شدید خرابی احتیاط کے ساتھ۔
اس پروڈکٹ اور دیگر پینسلن اور سیفالوسپورنز کے درمیان کراس الرجی ہے۔ اگر الرجک ردعمل ہوتا ہے تو، اس کی مصنوعات کا استعمال فوری طور پر بند کر دیں اور متعلقہ اقدامات کریں. یہ اطلاع دی گئی ہے کہ پینسلن کے ساتھ علاج کیے جانے والے مریضوں کو شدید اور کبھی کبھار مہلک الرجک رد عمل (anaphylactic جھٹکا) کا سامنا کرنا پڑا ہے، جو پینسلن سے الرجی کی تاریخ والے مریضوں میں ہونے کا زیادہ امکان ہے۔ الرجک رد عمل کی صورت میں، اموکسیلن-کلاوولینک ایسڈ کا استعمال بند کر دینا چاہیے اور مناسب متبادل علاج کروانا چاہیے۔ شدید الرجک رد عمل میں ایپی نیفرین کے ساتھ فوری ہنگامی علاج کی ضرورت ہوتی ہے۔ آکسیجن انفیوژن، انٹراوینس سٹیرایڈ انفیوژن اور ایئر وے مینجمنٹ بشمول انٹیوبیشن کی بھی ضرورت پڑ سکتی ہے۔
یہ پروڈکٹ امپیسیلن اور دیگر پینسلن اور سیفالوسپورنز کے خلاف مزاحم ہے۔
احتیاط کے ساتھ گلوومیرولر فلٹریشن کی شرح 30ml/min سے کم ہے، گردے کی ناکامی کو گلوومیرولر فلٹریشن کی شرح خوراک یا انتظامیہ کے وقفہ کے مطابق ایڈجسٹ کیا جانا چاہئے؛ ہیموڈالیسس اس پروڈکٹ میں اموکسیلن کے خون کی ارتکاز کو متاثر کر سکتا ہے، اس لیے اس پروڈکٹ کو ہیموڈالیسس کے بعد ایک بار لینا چاہیے۔
اموکسیلن کی زیادہ مقدار استعمال کرتے وقت، یہ تجویز کیا جاتا ہے کہ مریضوں کو کافی مائع لینا چاہیے اور اموکسیلن کرسٹلائزڈ پیشاب کے امکان کو کم کرنے کے لیے پیشاب کی کافی مقدار کو یقینی بنانا چاہیے۔
ڈاؤن لوڈ، اتارنا ٹیگ: اموکسیلن اور کلوولینیٹ پوٹاشیم گولیاں، چائنا اموکسیلن اور کلوولینیٹ پوٹاشیم گولیاں مینوفیکچررز، سپلائرز، فیکٹری









